Gemiddelde (werkelijke) actieradius EV’s in NL: 260 km
maandag 4 januari, 2021Momenteel zijn er in Nederland 42 verschillende merken/bedrijven die een EV op de markt zetten in 84 type’s/uitvoeringen, berekent het nieuwe, onafhankelijke platform 100% Elektrisch. De gemiddelde prijs van een EV is 44.500,- euro, de gemiddelde leaseprijs 520,- euro per maand.
Op dit moment zijn er zo’n 150.000 elektrische voertuigen (EV’s) in Nederland, het afgelopen jaar zijn er maar liefst zo’n 70.000 geregistreerd. Het platform verwacht dat er in 2030 zo’n 2 miljoen EV’s in Nederland zullen rondrijden. Er zijn onder andere 11 Chinese, 17 Europese, 4 Japanse en 5 Amerikaanse producenten van EV’s.
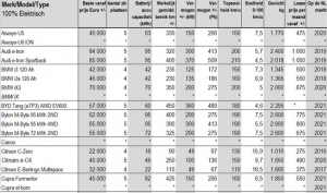
Naast een gemiddelde (lease)prijs, berekende het platform ook het gemiddelde, werkelijke bereik van alle EV’s die er momenteel in Nederland rondrijden. Dat blijkt 260 km te zijn. Nog wat weetjes: Het gemiddelde vermogen is 146 Kw (205 pk) en een accucapaciteit van 50 Kwh. Topsnelheid is gemiddeld 145 km en de sprint naar 100 is gemiddeld in 7 seconden.
Ook is er gekeken naar de aanschafprijs in verhouding tot de actieradius. Dan scoort de Volkswagen ID Neo, Hyundai Kona Electric (64 kWh versie) en de Sono Sion het beste. De gemiddelde prijs van de 3 merken is 28.000 euro met een gemiddeld bereik van 310 km. De goedkoopste EV van het moment is de Dacia Spring-e van 17.000,- euro, de duurste de Tesla Model X P100D van 160.000,- euro gevolgd door Porsche Taycan Mission-e van zo’n 150.000,- euro.
100% Elektrisch wil voor de consument een onafhankelijk en volledig inzicht te geven in aanbod en belangrijkste criteria zoals prijs, accuvermogen en actieradius.
Categorie: Geen




